查看: 717|回复: 8

山东六城市进入全国卖地收入前50城名单

[复制链接]
发表于 2020-1-18 10:11:11 来自手机 |未经授权,严禁转载,违者必究... | 显示全部楼层 |阅读模式
 
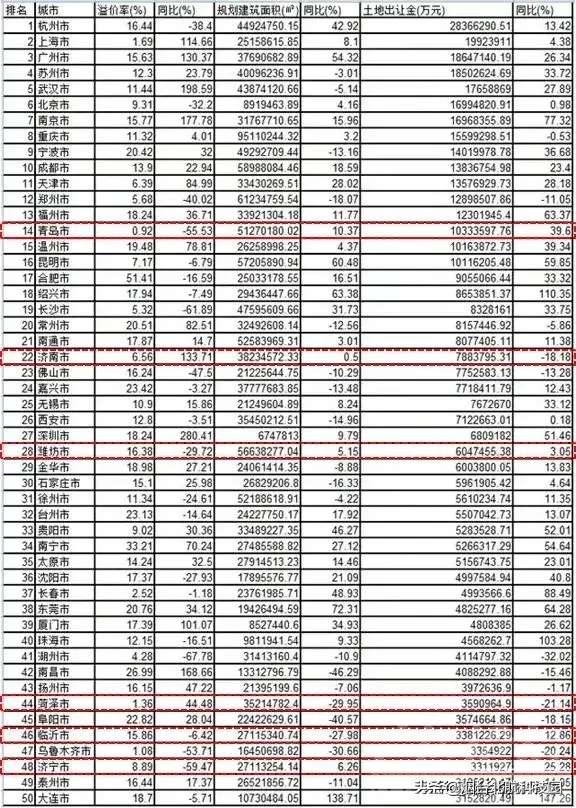
据中原地产研究中心数据显示: 2019年山东的青岛、济南、潍坊、菏泽、临沂、济宁六座城市进入卖地收入前50城名单。
六座城市土地收入情况分别是:青岛(1033亿元)、济南(788亿元)、潍坊(604.7亿元)、菏泽(359亿元)、临沂(338亿元)、济宁(331亿元)
20200118_560121_1579313471044.jpg
 
 
发表于 2020-1-18 10:11:49 来自手机 | 显示全部楼层
 
不错
 
 
回复

使用道具 举报

发表于 2020-1-18 10:12:46 来自手机 | 显示全部楼层
 
厉害
 
 
回复

使用道具 举报

发表于 2020-1-18 10:13:03 来自手机 | 显示全部楼层
 
厉害
 
 
回复

使用道具 举报

发表于 2020-1-18 11:17:36 | 显示全部楼层
提示: 作者被禁止或删除 内容自动屏蔽
回复 支持 反对

使用道具 举报

发表于 2020-1-18 11:42:25 来自手机 | 显示全部楼层
 
卖卖卖,业绩业绩,提提提
 
 
回复 支持 反对

使用道具 举报

发表于 2020-1-18 11:55:10 | 显示全部楼层
等待已久 发表于 2020-1-18 11:17
到底谁是高房价的受益者,一目了然

倒底是谁最不愿意降房价…………一目了然……。
回复 支持 反对

使用道具 举报

发表于 2020-1-18 14:00:27 来自手机 | 显示全部楼层
 
多卖地,多盖楼,人民城市人民掏钱建!
 
 
回复 支持 反对

使用道具 举报

发表于 2020-1-18 14:13:55 | 显示全部楼层
提示: 作者被禁止或删除 内容自动屏蔽
回复 支持 反对

使用道具 举报

您需要登录后才可以回帖 登录 | 加入声远

本版积分规则

返回顶部快速回复上一主题下一主题返回列表

声远论坛|联系电话:0537-2311005|Archiver|手机版|小黑屋|Sitemap|声远网 |网站地图|网站地图

鲁公网安备 37089702000485号 | 鲁ICP备 18028751号 | 互联网药品信息服务资格证:(鲁)-经营性-2022-0209 | 增值电信业务经营许可证:鲁B2-20230761号 | (鲁)职介证字[223]:第08120014号

中国互联网违法和不良信息举报中心 | 山东省互联网违法和不良信息举报中心 | 人工智能生成合成内容标识办法

GMT+8, 2026-5-17 11:35, Processed in 0.104103 second(s), 25 queries , Gzip On, APCu On.

Powered by Discuz! X3.5© 2001-2026 SYUAN.COM

快速回复 返回顶部 返回列表