查看: 1153|回复: 2

[我要爆料] 2025济南中考 | 济南普通高中最低录取资格线460分,一分一段表公布

[复制链接]
发表于 2025-6-29 22:13:27 |未经授权,严禁转载,违者必究... | 显示全部楼层 |阅读模式
6月29日下午,济南市教育局中招办召开2025年全市高中阶段学校招生工作第一次新闻发布会,公布今年济南普通高中最低录取资格线为460分,普通高中类招生指导计划共计49678人。为更好地指导考生正确填报志愿,现将济南2025初中学业水平考试一分一段表进行公布。
2025济南中考 | 济南普通高中最低录取资格线460分,一分一段表公布-1.jpg
记者在发布会现场了解到,今年,普通高中类招生指导计划共计49678人。职业教育类招生(指导)计划共计46648人,其中:初中后高等职业教育招生计划共计6723人。包括“3+4”高等职业教育本科计划74人、五年制高等职业教育计划240人、“三二”连读高等职业教育计划1732人、联办五年制高等职业教育计划4677人。中等职业学校招生指导计划共计39925人。包含中专招生指导计划11235人、市属技工院校招生指导计划28690人。
此外,今年,济南市普通高中志愿填报指导线为460分。“3+4”高等职业教育志愿填报资格线为452分。五年制高等职业教育、“三二”连读高等职业教育、联办五年制高等职业教育志愿填报资格线为180分。
全市一分一段表
(不含莱芜区、钢城区)
2025济南中考 | 济南普通高中最低录取资格线460分,一分一段表公布-2.jpg 2025济南中考 | 济南普通高中最低录取资格线460分,一分一段表公布-3.jpg 2025济南中考 | 济南普通高中最低录取资格线460分,一分一段表公布-4.jpg 2025济南中考 | 济南普通高中最低录取资格线460分,一分一段表公布-5.jpg 2025济南中考 | 济南普通高中最低录取资格线460分,一分一段表公布-6.jpg 2025济南中考 | 济南普通高中最低录取资格线460分,一分一段表公布-7.jpg 2025济南中考 | 济南普通高中最低录取资格线460分,一分一段表公布-8.jpg 2025济南中考 | 济南普通高中最低录取资格线460分,一分一段表公布-9.jpg 2025济南中考 | 济南普通高中最低录取资格线460分,一分一段表公布-11.jpg 2025济南中考 | 济南普通高中最低录取资格线460分,一分一段表公布-12.jpg 2025济南中考 | 济南普通高中最低录取资格线460分,一分一段表公布-13.jpg 2025济南中考 | 济南普通高中最低录取资格线460分,一分一段表公布-14.jpg 2025济南中考 | 济南普通高中最低录取资格线460分,一分一段表公布-15.jpg
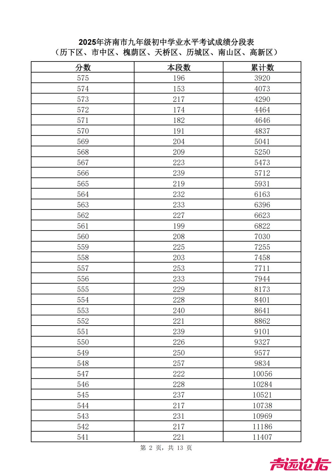
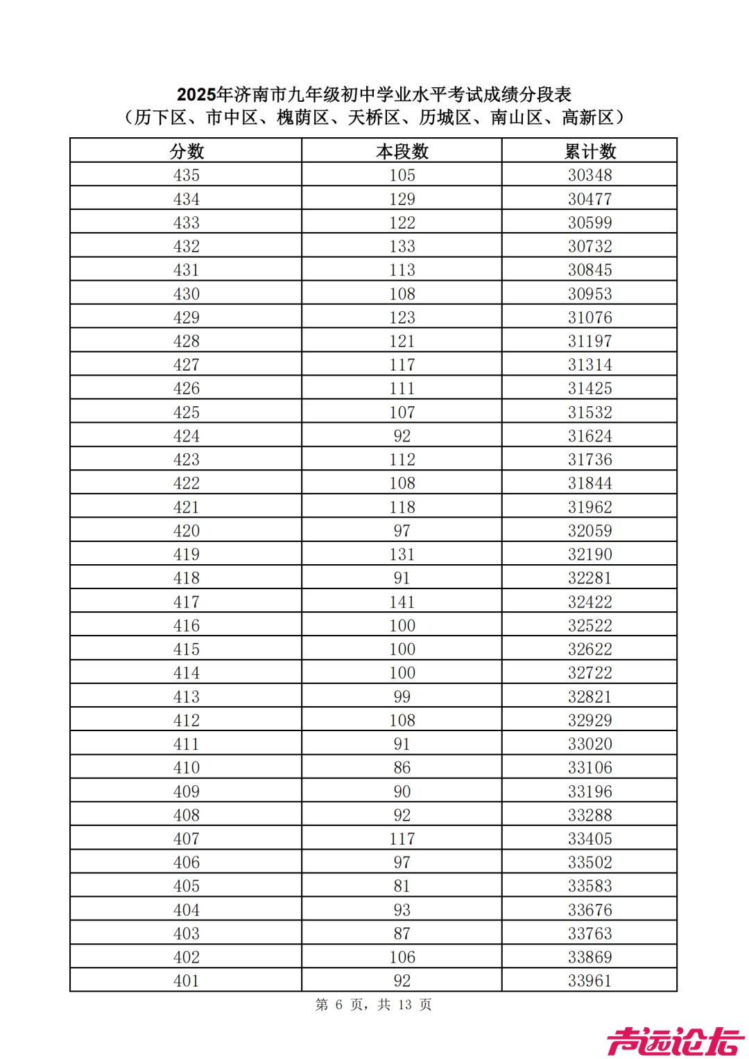
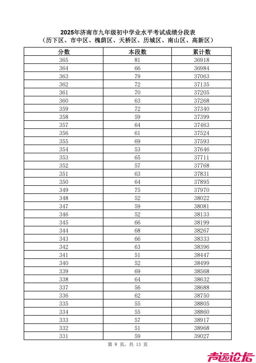
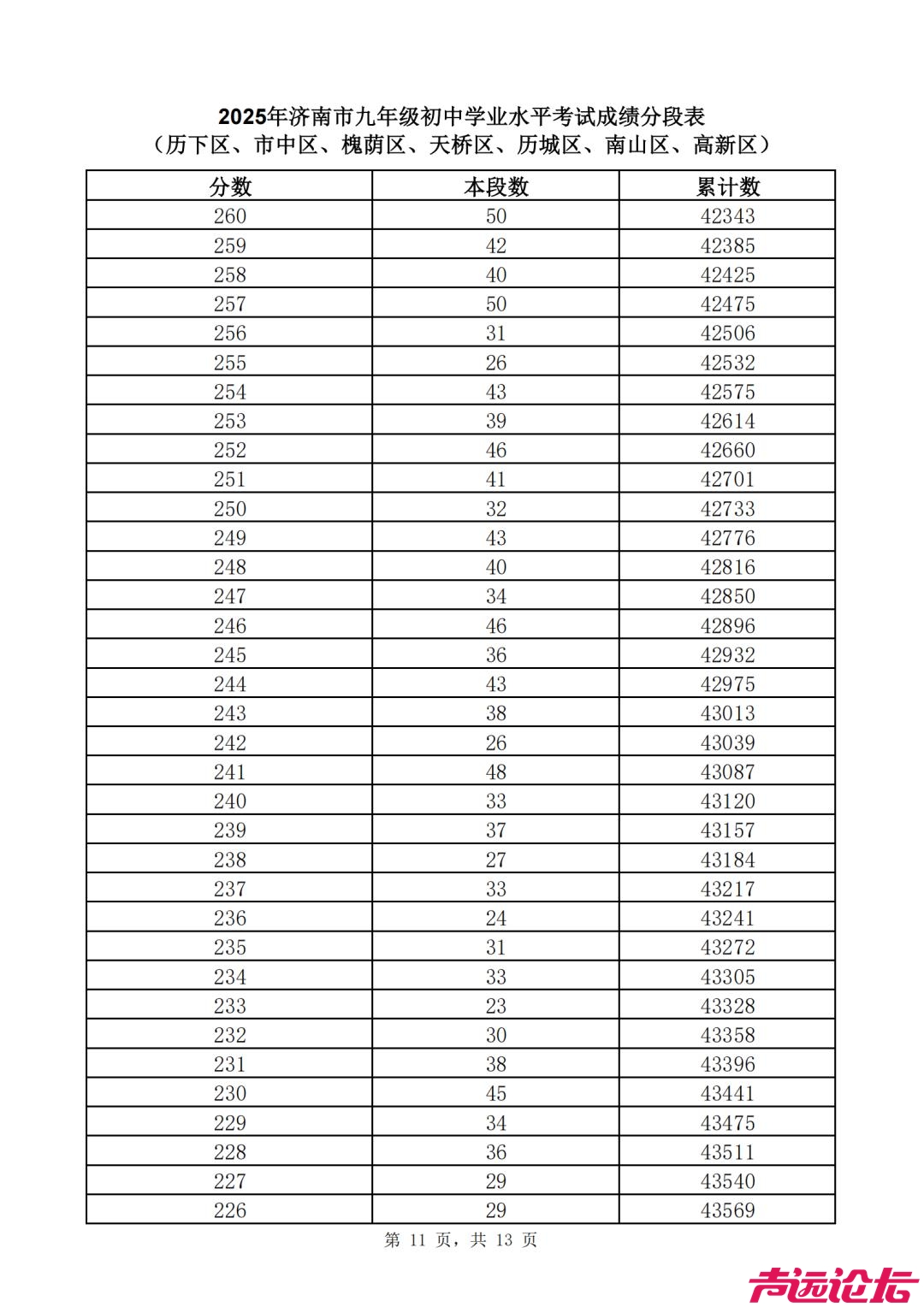
全市七区一分一段表
(历下、市中、槐荫、天桥、历城、南山、高新)
2025济南中考 | 济南普通高中最低录取资格线460分,一分一段表公布-16.jpg 2025济南中考 | 济南普通高中最低录取资格线460分,一分一段表公布-17.jpg 2025济南中考 | 济南普通高中最低录取资格线460分,一分一段表公布-18.jpg 2025济南中考 | 济南普通高中最低录取资格线460分,一分一段表公布-19.jpg 2025济南中考 | 济南普通高中最低录取资格线460分,一分一段表公布-20.jpg 2025济南中考 | 济南普通高中最低录取资格线460分,一分一段表公布-21.jpg 2025济南中考 | 济南普通高中最低录取资格线460分,一分一段表公布-22.jpg 2025济南中考 | 济南普通高中最低录取资格线460分,一分一段表公布-23.jpg 2025济南中考 | 济南普通高中最低录取资格线460分,一分一段表公布-24.jpg 2025济南中考 | 济南普通高中最低录取资格线460分,一分一段表公布-25.jpg 2025济南中考 | 济南普通高中最低录取资格线460分,一分一段表公布-26.jpg 2025济南中考 | 济南普通高中最低录取资格线460分,一分一段表公布-27.jpg 2025济南中考 | 济南普通高中最低录取资格线460分,一分一段表公布-28.jpg
— 大济宁 APP 点赞记录
点赞给态度,登录/注册 就能点赞
wbx2009 2025-6-30 08:18 威望 +2
发表于 2025-6-30 08:33:41 | 显示全部楼层
济南的学渣也不少
回复 支持 反对

使用道具 举报

发表于 2025-6-30 13:48:42 来自手机 | 显示全部楼层
 
资格线460可不低,
 
 
回复 支持 反对

使用道具 举报

您需要登录后才可以回帖 登录 | 加入声远

本版积分规则

返回顶部快速回复上一主题下一主题返回列表

声远论坛|联系电话:0537-2311005|Archiver|手机版|小黑屋|Sitemap|声远网 |网站地图|网站地图

鲁公网安备 37089702000485号 | 鲁ICP备 18028751号 | 互联网药品信息服务资格证:(鲁)-经营性-2022-0209 | 增值电信业务经营许可证:鲁B2-20230761号 | (鲁)职介证字[223]:第08120014号

中国互联网违法和不良信息举报中心 | 山东省互联网违法和不良信息举报中心 | 人工智能生成合成内容标识办法

GMT+8, 2026-4-18 14:34, Processed in 0.167512 second(s), 27 queries , Gzip On, APCu On.

Powered by Discuz! X3.5© 2001-2026 SYUAN.COM

快速回复 返回顶部 返回列表